In the beginning, the war proved a success by all objective measures: in 2007 the homicide rate decreased to its lowest level in recorded history and murders in Michoacan went down by more than 40%. Not that it mattered much, all the while the government was losing the psychological war—the use of torture and beheadings became common in executions carried out by drug cartels as they sought to protect their turfs and intimidate the population.
And then 2008 rolled around and the Sinaloa Cartel decided to take advantage of the weakening of the other cartels and the corruption that is endemic in Mexico to gain control of the drug trade…
![]() |
| Sources: Homicide data from INEGI, population data from CONAPO. 2009 estimate based on execution rates |
In Mexico about 85% percent of crimes go unreported, so it’s difficult to obtain exact estimates other than general trends. However, murder is generally considered to be reliably reported, and thus it will be the main data source I’ll use to measure the ebbs and flows of the drug war.
There are two ways to measure the number of homicides:
- Police records. This data is collected by law enforcement agencies. It is available from two sources:
- The National System of Public Security (“Sistema Nacional de Seguridad Pública”) which collects the data from something called CIEISP forms. Each state law enforcement agency has to fill them out each month, and the SNSP tallies them. You can download the SNSP data from the ICESI, which is a civic institution not affiliated with the government.
- The Statistical Yearbooks the statistical agency of the Mexican Government publishes each year on its website. The source for the data are the state law enforcement agencies (“Procuraduría General de Justicia del Estado. Dirección General de Información, Estadística e Identificación Criminal”)
- Vital Statistics from the INEGI. Produced from death certificates, they include data at the municipality level and the month of death. In addition they include sex, age, marital status, occupation, education, etc.
![]() |
| Sources |
Would you trust a Mexican cop?
Since the data is available at the state level for both police records and the vital statistics we can compare them:![]() |
| Sources |
The police records from the SNSP are missing 1,153 murders in Chihuahua! I am not able to rightly apprehend the kind of confusion that would provoke such a discrepancy. Just to give you some perspective, in Ciudad Juarez, Chihuahua’s biggest city, there were 1,653 homicides, more than the 1,414 reported in the whole state according to police records.
How can it be that there was such a big difference?
Well, first of all, the police records and the vital statistics records are collected using different methodologies: vital statistics from the INEGI are collected from death certificates and the police records from the SNSP are the number of police reports (“averiguaciones previas”) for the crime of murder—not the number of victims. For example, if there happened to occur a particular heinous crime in which 15 teens were massacred, but only one police report were filed, all the murders would be recorded in the database as one. But even taking this into account, the difference is too high.
You could also argue that the data are provisional—at least for 2008—but missing over a thousand murders in Chihuahua makes the data useless at the state level. I could understand it if it was an undercount by 10%–15%, or if they had added a disclaimer saying the data for Chihuahua was from July, but none of that happened and it just looks like a clumsy way to lie. It’s a pity several media outlets and the UN homicide statistics used this data to report the homicide rate in Mexico is lower than it really is.
For most states the differences in homicides rates seem stable |
The other source of homicides based on police records are the Statistical Yearbooks. They contain what is claimed to be the final number with at least 90% of all homicide reports entered into the database. Chihuahua is now “only” missing 466 murders compared to the vital statistics.
![]() |
| Sources |
The Statistical Yearbooks also report the number of victims instead of police reports, but only combined with the number of manslaughters, so it is impossible to know the true number of homicide victims from police records.
Questions remain for all the discrepancies. Perhaps the differences are due to data entry errors, improper use of preliminary data or plain lack of technical knowledge, and the local or federal governments are innocent of any wrongdoing. But it does seem awfully convinient to try and hide the fact that Chihuahua has turned into a war zone.
What about the Vital Statistics?
Benford’s law has got to be the coolest statistical “trick” after bootstraping. The basic idea is that the first digit of certain lists of numbers—one of the examples in Benford’s orginal paper was the death rate—are distributed in a non-uniform way tilting towards the lower digits, i.e, there are more numbers starting with 1s than with 9s.
This counter intuitive phenomenon makes it easy to detect if numbers have been altered since you would expect normal humans beings making up numbers whole cloth to produce the same amount of numbers starting with 1 than with 9.
Failure to follow Benford’s law is often interpreted as possible evidence of fraud and a prescription to investigate further.
![]() |
| Sources |
Since the data are only available monthly, I decided to check if the big massacres that have occurred since 1994 were recorded in the database. For example, if Ensenada on average each month has 5 homicides, but suddenly during September there are 20, we can be pretty sure that the massacre that occurred was recorded. This is what I found:
- Aguas Blancas Massacre: (Warning: Graphic Video) 17 dead, June 28, 1995. In the INEGI homicide database
- Acteal Massacre: 45 dead, December 22, 1997. Not in the INEGI homicide database
- Ensenada: September 19, 1998, 18 dead. In the INEGI homidice database
- Decapitated Bodies in Yucatán: August 28, 2008, 12 dead. In the INEGI homicide database
- Tijuana prison riots: September 2008, 25 dead. In the INEGI homicide database
- 24 dead outside Mexico City: September 13, 2008, 24 dead. In the INEGI homicide database
- Reynosa prison riot: October 2008, 21 dead. In the INEGI homicide database
Since the recent vital statistics from the INEGI don’t look crazy wrong like the SNSP data, they are the ones I will use. Oh, I don’t doubt that here and there some homicides were not reported or even deleted on purpose from the database, but the INEGI homicide data for Chihuahua looks ok and at least includes all the recent massacres. For our purposes that will be enough, as long as we keep in mind its shortcomings.
Were there reasons to intervene in Michoacan?
Since the data for Chihuahua looked awfully fishy, and the Mexican president claimed there was a big increase in violence in Michocan in 2006 as the reason for starting the war, I decided to download the original CIEISP forms for that state from the PFP website (Mexican Federal Police) and compare them with the vital statistics.
Well, there certainly was a big increase in violence, though as in Chihuahua in 2008, the number of homicides was much lower according to the police data. You can argue about whether sending the army was the right decision, but certainly the federal government had cause for aiding Michoacan. That is, of course, assuming the government of Felipe Calderon trusts the vital statistics and doesn’t trust the SNSP.
Overview of the Cartels
The Sinaloa Cartel
This is the most powerful cartel operating in Mexico. The leaders like to cultivate an image of being simple farmers that only grow pot to escape poverty. They claim to be adamantly against kidnappings, which makes them somewhat more popular than the other cartels. They are led by Joaquin “El Chapo” Guzman, who according to Forbes has a net worth of 1 billion dollars.
La Familia
The new kids on the block that managed to wrest control of the port of Lazaro Cardenas from the Zetas. They’re into Focus on the Family type Muscular Christianity and chopping heads off with machetes. As their official introduction they dropped 5 severed heads inside a nightclub in Michoacan. They are currently allied with the Sinaloa cartel.
The Juarez Cartel
Also known as the Vicente Carrillo Organization, they used to be allied with the Sinaloa Cartel till “El Chapo” ordered the killing of Vicente Carrillo’s brother in 2004. They control Ciudad Juarez, though, after more than 5,000 deaths, the Sinaloa cartel is pretty well entrenched there and it looks like it will be a fight to the death.
The Tijuana Cartel
This cartel has seen better days as all of its major leaders have been either arrested or killed. Their rivalry with the Sinaloa Cartel dates back to when they tried to kill “El Chapo” Guzman at the Guadalajara airport in 1993. That shootout ended with six people dead, among them a Mexican cardinal.
The Gulf Cartel
They used to be the most powerful cartel in Mexico till their leader got arrested in 2003, visibly weakened, “El Chapo” Guzman saw an opportunity and put the Beltran Leyva brothers in charge of taking over their central stronghold of Nuevo Laredo. They weren’t successful, but the Beltran Leyvas rose in the ranks of the Sinaloa Cartel, along with their chief gunman “La Barbie.”
Beltran Leyva Cartel
Formerly allied with the Sinaloa cartel, they broke off after one of the Beltran Leyva brothers was captured by the government and the rest of the clan blamed the leader of the Sinaloa cartel of tipping off the government. As revenge they killed “El Chapo” Guzman’s son. As of 2010 only one of the brothers remains free. He is currently battling his former ally “La Barbie” for control of the organization. They are currently allied with the Zetas
Zetas
They started as a group of army deserters who offered their services to the Gulf cartel. After the capture of Osiel Cárdenas in 2003 and succesfully defending Nuevo Laredo from La Barbie they started operating independently of the Gulf cartel, though they remained allies until 2010. They like to collect “taxes” and kidnap people in addition to trafficking drugs.
Major Trends in Homicide Rates
To produce the plots I discarded all data before 1994 since there were a lot homicides registered in the INEGI database with no year of occurrence recorded. I also ordered the data by year of occurrence instead of year of registration as is done by default by the INEGI.
Homicide rates at the state level in 2008
![]() |
| Sources |
Change in homicide rates since the start of the drug war*
![]() |
| Sources |
*I got the idea for this chart from the Learning R blog
![]() |
| Sources |
- The top row consists of states home to drug cartels or in dispute. Notice the big increases at the end of the series
- Violence has decreased a lot since 1994 in Oaxaca, Morelos (this will change in 2010), State of Mexico and Michocán.
- There was a big increase in the homicide rate in Baja California in 1998 due to the power vacuum left after the death of Amado Carrillo Fuentes.
- Notice how the homicide rate was higher in Michoacan in 1994 than in 2006 when the President of Mexico sent in the army.
- Notice also the rise and fall of homicide rates in Tamaulipas when the Sinaloa Cartel tried to take over Nuevo Laredo around 2005-2006.
- Chiapas wasn’t all that violent back when the Zapatista were in vogue—at least according to the Mexican government
Homicide at the Municipality Level
To display the murder rate at the municipality level I’ve switched to choropleths. Keep in mind that the big municipalities tend to draw more attention because of their size, but they also tend to have low population densities. For example, Tijuana, which is an important drug corridor and home to the Tijuana Cartel is barely visible.
1995 ![]() | |
| |
The sources are here.
For comparison purposes, the most violent city in the US, New Orleans, had179 homicides in 2008 for a rate of about 60 per 100,000.
It’s interesting that the most violent municipality in all of Mexico during the 1990-2008 period was probably Badiraguato, it’s served as cradle to some of Mexico’s most important cartel leaders: Caro Quintero, Fonseca Carrillo, “El Chapo” Guzmán, the Beltran Leyva brothers, Félix Gallardo, and lots of others.
What about 2009 and 2010?
Since the data for 2009 isn’t out yet, I can’t do any charts :(. But here is what happened:
- The war the Sinaloa cartel started to defeat the Juarez cartel kept going in 2009, leaving a total of 2,700 dead in Ciudad Juarez, compared to 1,600 in 2008. In 2010 the number of homicides will probably be similar to 2009 (perhaps a little lower).
- At the end of 2009 one of the Beltrán Leyva brothers was killed at a luxury apartment in Cuernava, capital of the state of Morelos. A week later another of the Beltran Leyvas was captured in Sinaloa. This sparked another inter-cartel war as the only remaining Beltran Leyva fought for the leadership of the organization with “La Barbie”
- At the beginning of 2010 a hit man allied with the Sinaloa Cartel, “El Teo,” was captured. He was sent to defeat the Tijuana cartel, and is believed to be responsible for over 300 murders. Interestingly, there were no massacres or increases in violence after his capture. This probably means the Sinaloa Cartel overextended itself and is waiting to defeat the Zetas, the Juarez Cartel and the Beltran Leyva organization before resuming its quest for Tijuana. There won’t be a quick ending to the cartel wars.
- At least at the beginning of 2010 the murder rates in Mazatlan and Nogales grew to be similar to those of Ciudad Juarez in 2008. The state of Sinaloa in 2010 will probably be about as violent as Chihuahua in 2008
- Like Finland in 1944, the Gulf cartel in 2010 saw the writing on the wall and decided to switch sides and ally itself with its former mortal enemy, the Sinaloa Cartel, the guys they stopped in Nuevo Laredo. To prove their worthiness they are now tasked with destroying their former paramilitary unit, the Zetas, with the help of La Familia.
International comparison
I think I went a little too far with the WWII analogies, Mexico is a pretty violent place, but it’s not going to turn into Iraq or Afghanistan. It is also not going to turn into a failed state like Somalia. Even with its high homicide rate Brazil’s economy has had higher growth rates than Mexico and is a pretty swell place to visit.As recently as 1994 the man destined to win the presidential election was murdered in Mexico, stuff like what’s happening now isn’t exactly new, even if it is worse. Plus, the army is firmly under civilian control, there are free elections, there’s an independent judiciary, and important business groups. Even right now in 2010 I very much doubt the murder rate in Mexico has reached the peak murder years in Brazil (you’ll have to wait another year!). And just ask any middle class Mexican if he’s been able to stop paying taxes if you believe the failed state theory.
On the other hand, I don’t want to come off as glib, dismissing all the extra deaths the drug war has caused, which should total in the tens of thousands by time it is finished. This will be the most violent conflict in Mexico since the Cristero War. But no, Mexico is not in any danger of turning into a failed state, or having the drug cartels team up with Marxist revolutionaries to topple the Mexican Government and have Blackwater run PEMEX or whatever nonsense people like to believe. There will not be a phase transition if you will.
Drugs
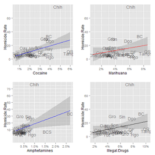
Drug use has increased a lot in Mexico. According to the National Survey of Addictions (“Encuesta Nacional de Adicciones 2008”), the percentage of the population who had consumed cocaine doubled from 1.2% in 2002 to 2.4% in 2008. The percentage of people who consumed cocaine in Mexico during the last year was .4%, what’s more, in Mexico one fourth of cocaine is consumed as crack compared to 14% in the US.Since drug addicts are more likely to be gang members and serve as cannon fodder for the drug cartels, I thought of running some regressions comparing the homicide rate in 2008 with the percentage of the population that consumes different drugs. The results show a significant the relationship between cocaine and amphetamine consumption and homicide rates, the regression for marijuana was not significant, and the regression for consumption of all illegal drugs was barely insignificant (p = 0.7). Still, there were some big outliers in the states where violence has increased the most.
Sources: National Survey of Addictions and INEGI |
![]() |
| Source: 2010 International Narcotics Control Strategy Report (INCSR) |
However, Mexico has seized more cocaine since the drug war started, and this has been reflected in an increase in its street price. Considering that cocaine consumption has stayed constant in the US, this just means the drug cartels increased the rents they obtain. It would be interesting to know if the navy has been in charge of most cocaine seizures.
![]() |
| Source: WORLD DRUG REPORT 2009 (p. 220) |
Guns don’t kill people, gun laws kill people
(See this post for a more in-depth look at the effect of the expiration of the AWB)
In 2008 Mexican authorities claimed to have seized about 30,000 guns. Of those, 7,200 were submitted for tracing to the ATF. Of those traced, about 90% came from the US. The keyword being traced. This isn’t all guns that were confiscated in Mexico, not even a random sample, but a highly biased one. For example, according to GAO, 25% percent of traced guns were assault weapons, while according to the Mexican government 50% of seized guns were assault weapons. So it would be mistaken to draw inferences about where the total percentage of guns come from. Likewise, it would be mistaken to say that only 22% of guns come from the US.
Additionally, one of the problems with trying to obtain an estimate of the lower bound for the percentage of guns that come from the US is that the Mexican government’s estimates of guns seized tend to be all over the place, sometimes it’s 21,000, sometimes it’s 31,000. And as we’ve seen, statistics from police agencies in Mexico aren’t very trustworthy, especially when there are powerful political interest behind them. Guns are a lot easier to disappear than dead bodies. And they have resell value. If asked to give an estimate, and given the pictures of confiscated guns I’ve seen, the percentage of American guns certainly looks to be high and must be between 40% and 70% (WAG).
According to The Brookings Institution about 2000 guns (p. 34) are smuggled daily into Mexico from the US, but that figure doesn’t seem right to me. According to BAFT 4.37 million firearms are produced each year, if 2,000 weapons crossed the border each year, that would mean the equivalent of 17% of firearms produced in the US were smuggled into Mexico each year, that sounds a tad high to me. Maybe the guys at Brookings asked their in-house weapons expert Kenneth Pollack his opinion?
Furthermore, considering that you can’t buy RPG-7s at your local Walmart and that more than 5,400 grenades have been seized from the cartels, it’s pretty clear they have other suppliers, quite obvious considering the source of the cocaine they smugle into the US.
And if you look carefully, you will notice that the violence started to grow a couple of years before I took office in 2006. This coincides with the lifting of the Assault Weapons Ban in 2004.
![]() |
Sources: The execution rate after 2006 is based on the average of reported executions by Milenio and Reforma |
![]() |
| Sources |
![]() |
| Sources |
This is just local politics, Mexican politicians trying to shift the blame onto the US for the drug war, which of course they don’t really believe—at least judging by what they do—only 148 weapons were confiscated in 2009 by Mexican customs agents. The sad part is that since proportion of homicides with firearms increased in other parts of Mexico after the ban expired, the Mexican government would have had a cause for complaint, just not for the reasons they claim.
Denial ain’t just a soccer player in Mexico
The violence [in Mexico] does not prevent me from walking safely through its streets
If we measure violence as the rate per 100,000 people, then, yes, [Mexico] has a very high homicide rate. The last number available put it at 11.6 per 100,000 people
Well, if you use the police data that’s missing over a thousand homicides in Chihuahua you can say that the homicide rate is 11.6; however, according to Calderon, the data he used came from The Brookings Institution (I’m starting to see a pattern here). I’m guessing they got it from the ICESI, and they got their data from the police records.
As for Carlos Slim, his cousin was kidnapped by leftist guerrillas in 1994, in Mexico City, where Slim lives. He’s rumored to have paid 30 million dollars for his release. I’m all for saying that Mexico is not a failed state, but ridiculous statements like the one he made just make it sound like he has 53 billion reasons not to contradict the Mexican government.
And there are always problems with quoting numbers a few years old when the homicide rate is changing rapidly. Obviously, the Mexican government prefers not to hand out the 2009 numbers (they’re not available anywhere as far as I know), but since the execution rate is reported by two major newspapers and it correlates pretty well with the homicide rate, it is pretty easy to run a regression to predict the current and future rates:
![]() |
| Sources: Executions rates are based on the average of reported executions by Milenio and Reforma . Homicide data from the INEGI. Population data from CONAPO |
Military Interventions
To explain in part why violence levels have escalated I’ll retake the idea of Natural States from Douglass North. Before the government started the drug war, each cartel had its own patronage networks and for the most part they lived in peace with their rivals and the government. They knew that if they started an all out war with another cartel they had a lot to loose, they increased the risk of having their families killed, and lots of dead bodies would increase the risk of the government getting fed up and capturing their leaders. And for the most part, the cartels were equally powerful, or at least powerful enough to defend their territories. So they didn’t have many incentives to go to war with each other.
This doesn’t mean they never suffered from violence, there were betrayals and shifting allegiances, and when one of the cartels became suddenly weaker, as when the Gulf Cartel lost its leader in 2003, another cartel would try to take over, but these events were rare and for the most part everyone lived in peace. But when Felipe Calderon decided to send in the army all over the country he completely destabilized the power equilibrium between the cartels. Now some cartels were weaker and the Sinaloa Cartel played its cards right: they lied low while the government conducted its first military operations, bribed the right guys to know when the government was going to conduct its military operation, and then they decided to take advantage of its network of corrupt officials to come out on top after the other cartels were weakened.
Keep in mind that only 37 soldiers died during military operations in 2009 according to the newspaper Milenio, and the number was similar for 2008. Most of dead are the foot soldiers of the drug cartels. And though shootouts with army units have become more common in 2010, in 2007 and 2008 they were rare occurrences.
The list of military interventions is here and sources for the charts are here.
Tamaulipas
![]() |
| Municipalities with more than 250,000 people |
As you can see this only resulted in a big spike in the homicide rate. Instead of making the drug cartels retreat, the military just made it easier for the shooting to start. A pattern we’ll see repeated again and again when the Sinaloa Cartel wants to take over a drug trafficking route. The leader of the Sinaloa Cartel must have leapt for joy when he heard Felipe Calderon had declared war on the drug cartels.
It’s pretty obvious from the chart that by the time President Calderon started the joint operation Tamaulipas-Nuevo Leon the violence had already run its course, “La Barbie” having failed to defeat the Zetas.
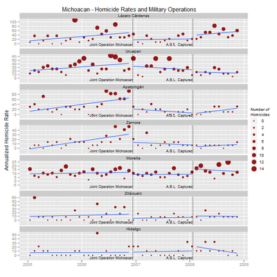
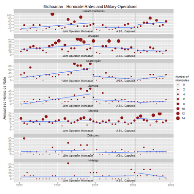
Michoacan
![]() |
| Municipalities with more than 100,000 people |
Here’s the state where the whole thing started. On September 7, 2006 La Familia Michoacan made its existance know by leaving 5 severed heads inside a nightclup in Uruapan. Right after being elected, Felipe Calderón sent 4,500 troops to Michoacan on December 11, 2006. And they were effective. There some pretty big reductions in the homicide rates of Lazaro Cardenas, Apatzingan, Zamora and Uruapan.
Since a lot of cocaine and ephedrine enters Mexico through the Pacific coast of Michoacan and the Tierra Calienta houses lots of meth labs, I thought it would be interesting to look at their homicide rates.
Since a lot of cocaine and ephedrine enters Mexico through the Pacific coast of Michoacan and the Tierra Calienta houses lots of meth labs, I thought it would be interesting to look at their homicide rates.
Guerrero
![]() |
| Municipalities with more than 100,000 people |
As a response to the Beltran Leyvas trying to take over Nuevo Laredo, the Zetas sent more than a hundred gunmen to dispute the port city of Acapulco. Four of them were kidnapped with the help of federal police officers, and a video of them being interrogated was filtered to the Dallas Morning News. At the end of the video one of the Zetas was shot in the head.
Again we see that sending in the army had the effect of reducing the homicide rate. But after one of the Beltran Leyva brothers, Alfredo Beltran Leyva “El Mochomo” was captured, the homicide rate went up again, especially in the municipalities bordering Michoacan. I’m guessing he was captured around the time La Familia decided to form an alliance with the Sinaloa Cartel.
Baja California
![]() |
| Municipalities with more than 100,000 people |
Given there wasn’t a spike in the murder rates there was hardly any reason to send in the army in 2007. If you look closely there was an increase in the homicide rate in Tijuana during 2008, but the scary stuff didn’t start until the end of the year.
It’s interesting that the murder rate increased right before Eduardo Arellano Felix was captured. Was someone from the Sinaloa Cartel following him, or maybe they captured someone who told them the location of one of his safe houses and then simply tipped off the army to his location?
Nuevo Leon
![]() |
| Municipalities with more than 250,000 people |
![]() |
| Selected municipalities with more than 100,000 people |
Durango
![]() |
| Municialities with more than 100,000 people |
Here are the muncipalities with a high homicide rate
Sonora
![]() |
| Municipalities with more than 100,000 people |
Sinaloa
![]() |
| Municipalities with more than 100,000 people |
Chihuahua
![]() |
| Municipalities with more than 100,000 people |
Since the drug war in Chihuahua is mainly about controlling access to the US border, here are the muncipalities near the US border, and the municipalities with an extremely high homicide rate
Ciudad Juarez
Since Ciudad Juarez is the most violent city in the world, I decided to make a special chart just for it, including data for 2009 taken from newspaper reports. Keep in mind that a lot of people have left Juarez since it became the most violent city in the world and I’m using the official population estimates from the CONAPO done in 2005. The true murder rate is likely to be 10-30% higher.
![]() |
| Sources: Before 2009 the homicide data is from INEGI. For the first half of the 2009 puntoporpunto, and for the second half of 2009 larednoticias. For 2010 Agencia EFE |
This is the most patrolled, most policed city in Mexico and also the most violent. Interestingly, when the reinforcement were sent the violence levels decreased and the same thing happened when Calderon visited Juarez twice in 10 days accompanied by 5,000 policemen and his personal military guard. I guess this means, that the time to create a critical mass of corrupt Mexican soldiers is about 3 months, since that’s the time it took for the violence to pick up again.
Not surprisingly handing over the control of the city to the police didn’t make things better and for the next two months the homicide rate increased. I think the government has just about given up on Ciudad Juarez.
Looking at charts is certainly a fun and very intuitive way of trying to get an idea of the effect of military operations, but there are also statistical tests to date structural changes, and R being open source I used the strucchange package to date the breakpoints in regression models of homicide rates. You can consult a pdf document containing the tables of results for the different states from my github account. They tend to reflect what is aparent from the charts.
I’ll emphatize it again, since I don’t want anyone to get the wrong impression and think that the Mexican military is operating as the armed wing of the Sinaloa Cartel. They aren’t. But for practical purposes they do allow them to operate freely (perhaps by someone with inside information telling them in advance of their patrols) and most importantly they attack their opponents.
It’s pretty clear from the way the army operations have coincided with increases in homicide rates that:
It’s pretty clear from the way the army operations have coincided with increases in homicide rates that:
- Someone in the government should have paid attention to what happened in 2003 when President Calderon’s predecessor sent in the army
- The Sinaloa Cartel had advance knowledge of the military operations and used them to its advantage
- Plenty of rank and file members of the Mexican army have been bought off by the Sinaloa cartel
- Expanding army operations beyond Michoacan and Guerrero was unwarranted. And given the overall increases in violence it is doubtful whether involving the army at all was the appropriate solution
- The army is not up to task of stopping the violence
Its not pretty when a state gives up its monopoly on the use of violence, and clearly there won’t be peace until a new equilibrium between the cartels is reached or the Sinaloa Cartel becomes the only cartel operating in Mexico.
Summary
Summary
This post came out longer than usual, so I’ll summarize it:
- The homicide rate increased 65% in 2008 compared to 2007
- Most of the increase was concentrated in the states the drug cartels are based in or which they are disputing
- In Mexico there are two sources of homicide data: Police records (provided by the SNSP), and the vital statistics system (provided by the INEGI). Not surprisingly both series fail to follow Benford’s law. A closer look a the data reveals that:
- The police records in 2008 are missing more than a thousand homicides in Chihuahua! Just to give you some perspective, in Ciudad Juarez, Chihuahua’s biggest city, there were more than 1,600 homicides, more than the 1,414 reported in the whole state according to police records. I strongly recommend against using data obtained from the police records from the SNSP or the UN homicide statistics if you need the latest homicide numbers.
- The Acteal massacre of 45 Tzotzil Indians in Chiapas is missing from the vital statistics database. According to the INEGI there were only 2 deaths during December 1997 in the municipality of Chenalhó.
- The cultivation of marijuana and opium poppy increased and drug seizures decreased after the drug war started. The street price of cocaine in the US increased as a consequence of a larger number of seizures by Mexican officials.
- Cocaine consumption in Mexico
rivals that of first world countrieshas doubled. - While the proportion of homicides involving a firearm increased by 10% for all of Mexico since 20004, there’s not much evidence the expiration of the assault weapons ban was the cause of the rise in violence in the states where the drug cartels are based.
- While the first joint army operations in 2006 and 2007 lowered the homicide rates in Michocán and Guerrero, later military operations in Chihuahua, Durango, Nuevo León, Veracruz and Durango have coincided with increases in homicides and attempts by the Sinaloa cartel to take over drug trafficking routes from rival cartels.
- After the army took control of Ciudad Juarez it became the most violent city in the world.
- Based on execution rates I predict the homicide rate for 2009 will be 15.5 (95% CI 14.8-16.1) and 19.5 (95% CI 18.4-20.7) for 2010.



































